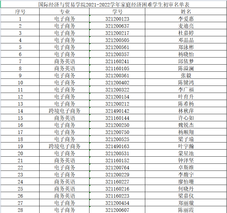
按照《广东省教育厅关于做好2021年秋季学期学生资助工作的通知》文件精神,结合我院实际情况,本着“公开、公平、公正”的评选原则,经学生本人申请、班级推荐、学院国家奖助学金评审小组评审,共有李爱惠等37名学生通过国际经济与贸易学院2021-2022学年家庭经济困难学生初步审核(具体名单见附件),现予以公示,如有异议,请在公示期间向学院负责老师反映。
公示时间:2021年9月27日-2021年9月30日
联系人:陈月
联系方式:020-82661097
办公地点:博B409


国际经济与贸易学院
2021年9月27日