党建工作
当前位置: 首页 -> 党团工作 -> 党建工作 -> 正文

党建工作 | 国贸学院2023年秋季学期初级党课培训回顾及初级党课培训结课学员名单公示

发布日期:2023-10-27     点击量:

国贸学院2023年秋季学期初级党课培训回顾及初级党课培训结课学员名单公示

为了严格把握我院学生党员发展质量,守好党员“入口关”,进一步加强并提高入党申请人的政治素养和党性意识,端正入党动机,切实加强理论知识学习。国际经济与贸易学院党总支于2023年10月17日—10月25日开展初级党课2023年秋季学期初级党课培训。本次初级党课培训分为线下和线上两个部分进行。

1、线下部分

党课第一讲《在奋斗中实现梦想》由党委办公室副主任姚嘉敏老师主讲。

1C292

党课第二讲《端正入党动机,争做合格党员》由党委办公室主任潘京萍老师主讲。

F469

党课第三讲《共产党员的条件及入党的程序与要求》由机关第三党支部书记陈金苗老师主讲。

20010

2、线上部分

课程内容同时也包括线上的网络视频学习和学习强国的学习。

3A9A6

1327C

3C155

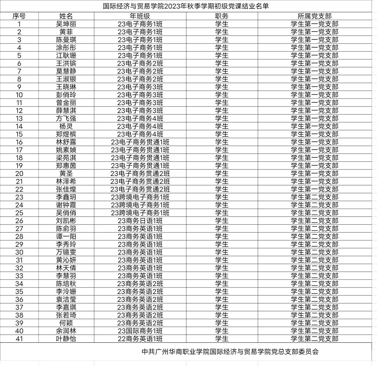
3、名单公示

经过国际经济与贸易学院党总支审查研究决定,给予吴坤丽等41名同学通过初级党课培训班的培训并结业,现予以公示。

539E3

恭喜以上同学通过了本期初级党课培训。经过线上党课和线下党课相结合的方式以及学习强国的打卡学习,所有学员对党的历史和发展有了更加深刻的理解,思想觉悟进一步提高,认识到作为一名中国共产党员需要肩负的责任与使命。希望各位入党积极分子能始终保持入党的初心,不断提升自我、完善自我,在日常学习和生活中做好表率,坚定理想信念,践行党的宗旨,早日成为一名合格的党员,为实现中华民族伟大复兴的中国梦而努力奋斗

END



广州校区:广东省广州市增城荔湖街华商路2号  | 江门校区:广东省江门市新会区崖门镇华商大道1号 

招生热线:020-32882222 | 广州华商职业学院 All Rights Reserved | 粤ICP备12007829号