为深化党员的自我教育管理模式,切实提升党员自我教育管理实效,智能制造与汽车学院党总支针对现阶段党员教育管理不足现状,积极探索,组织开展党员自我教育学习活动,锚定学习目标,认真贯彻落实,狠抓推进整改,抓好奖励惩罚。现将第十八周党员学习计划及检查结果公布如下。
PART 01
第十八周学生党员学习计划表
(学生第一党支部计划表)

(学生第二党支部计划表)

PART 02
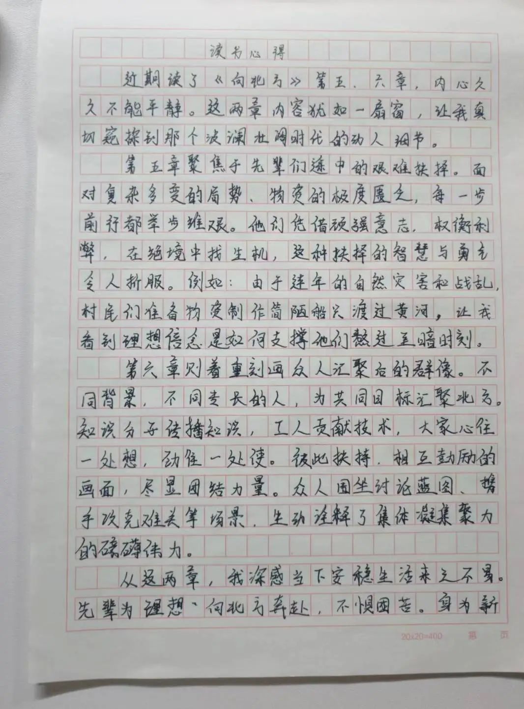
学习心得






PART 03
学习成果展示



PART 04
学习强国平台学习情况



PART 05
党史知识自测



供稿:陈李东
排版:陈梅婷
初审:富心彤老师
复审:周杨老师
终审:姚柏洲老师